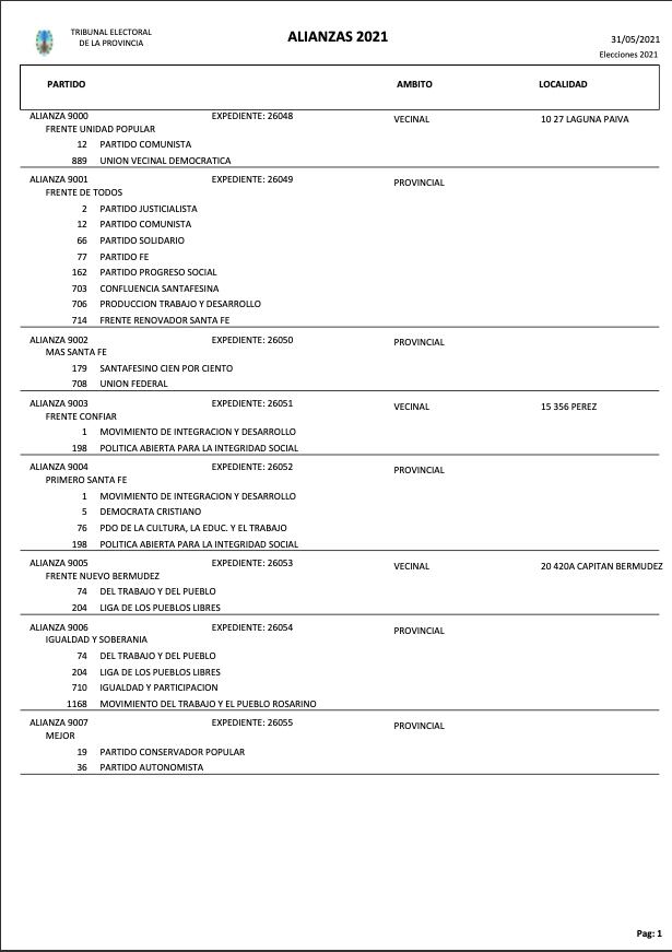
Este domingo cerraron las alianzas para las elecciones legislativas 2021 y en Santa Fe quedaron registradas siete alianzas provinciales y la misma cantidad de vecinales. Dentro de las alianzas vecinales, una es de nuestra ciudad: Frente Confiar
Las alianzas provinciales son: Frente de Todos (FdT), Frente Progresista (FPCyS), Juntos por el Cambio (JxC), Más Santa Fe, Primero Santa Fe, Igualdad y Soberanía y Mejor.
//Mirá también: El Concejal Federico Jolly solicitó una urgente convocatoria al Comité de Crisis
El domingo se vencía el plazo para presentar las alianzas ante el Tribunal Electoral. Las elecciones provinciales se realizarán en el mismo momento que las nacionales, es decir que las PASO están previstas para el día 8 de agosto, y las generales para el 24 de octubre. De todas maneras, el Senado tiene que tratar el proyecto de Ley con la idea de postergarlas para los meses de septiembre y noviembre respectivamente.
A nivel provincial, las alianzas presentadas son las siguientes:
- Frente de Todos: Partido Justicialista; Partido Comunista; el Partido Solidario; Partido Fe; el Partido Progreso Social; Confluencia Santafesina; Producción, Trabajo y Desarrollo; y Frente Renovador Santa Fe.
- Frente Progresista Cívico y Social: Unión Cívica Radical; Partido Demócrata Progresista; Movimiento Libres del Sur; Partido Socialista; el GEN; Solidaridad e Igualdad; Creo y Participación, Ética y Solidaridad (Pares).
- Juntos por el Cambio: Unión Cívica Radical, la Coalición Cívica ARI; PRO Propuesta Republicana; Unión del Centro Democrático y Unidos.
- Más Santa Fe: integrado por Santafesino Cien por Ciento y Unión Federal.
- Primero Santa Fe: Movimiento de Integración y Desarrollo; Demócrata Cristiano; Política Abierta para la Integridad Social y el Partido por la Cultura, la Educación y el Trabajo.
- Igualdad y Soberanía: Del Trabajo y Del Pueblo; Liga de los Pueblos Libres; Igualdad y Participación y Movimiento del Trabajo y del Pueblo Rosarino.
- Mejor: Partido Conservador Popular y Partido Autonomista.


Además, a nivel local, quedó conformado como alianza vecinal:
- Frente Confiar: Movimiento de Integración y Desarrollo y Política Abierta para la Integridad Social.
En principio, a no ser que el Gobernador Perotti extienda el calendario, el jueves próximo cerraría la presentación de listas.






























